download Bài tập trắc nghiệm phương trình lượng giác File DOC

Bài tập trắc nghiệm phương trình lượng giác

 File DOC

Download Bài tập trắc nghiệm phương trình lượng giác - Bài tập trắc nghiệm về chuyên đề lượng giác

Nguyễn Thuý Thanh  cập nhật: 30/10/2024

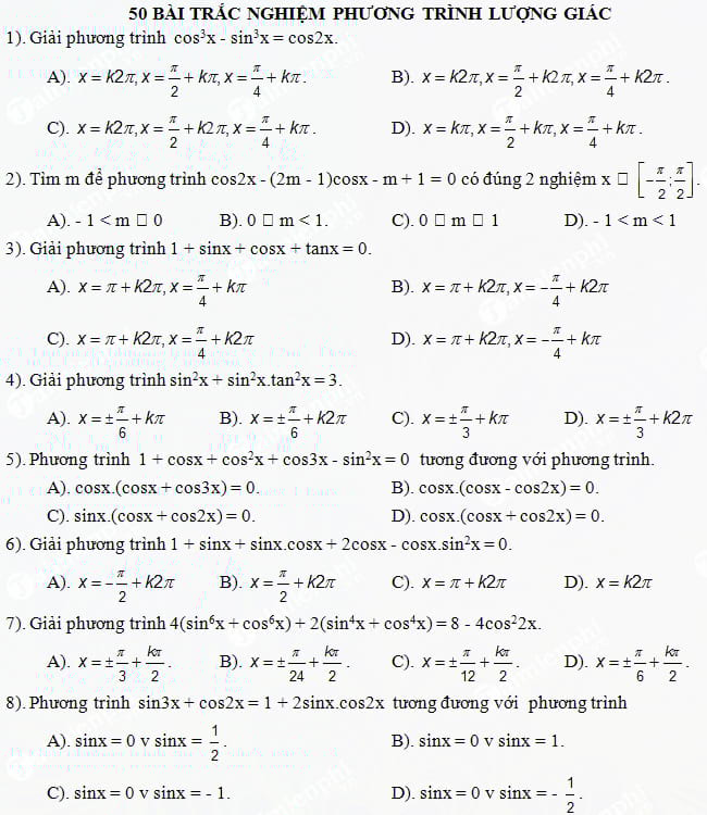
Bài tập trắc nghiệm phương trình lượng giác được tổng hợp với tất cả 50 câu hỏi trắc nghiệm về chuyên đề lượng giác. Đây là các nội dung kiến thức quan trọng trong sách giáo khoa toán lớp 12, là đề cương luyện tập các kiến thức về phương trình lượng giác cho các em học sinh chuẩn bị thi tốt nghiệp THPT và thi ĐH, CĐ.

Theo khảo sát nội dung các đề thi tốt nghiệp và các đề thi cao đẳng, đại học môn Toán thì không thể thiếu các bài tập về phương trình lượng giác. Chính vì thế để đạt được kết quả cao trong các kì thi Toán thì các em học sinh cần luyện tập qua các bài tập trắc nghiệm phương trình lượng giác để bổ sung kiến thức và nâng cao kỹ năng làm bài tập phương trình lượng giác của mình.


Bài tập trắc nghiệm phương trình lượng giác
Download Bài tập trắc nghiệm phương trình lượng giác - Phần mềm Bài tập trắc nghiệm về chuyên đề lượng giác

 

Các bài tập trắc nghiệm phương trình lượng giác được ra dưới rất nhiều dạng bài khác nhau như bài giải phương trình, tìm ẩn số của phương trình, tìm phương trình tương đương, giải hệ phương trình… Các em học sinh cần rèn luyện cho mình phương pháp giải các bài tập trắc nghiệm phương trình lượng giác nhanh nhất, ngắn gọn nhất để tìm ra đáp án chính xác trong thời gian ngắn. Điều này sẽ vô cùng hữu ích cho các em học sinh trong các kì thi, giúp các em giải quyết nhanh chóng các câu hỏi trắc nghiệm.

Để làm tốt các bài tập lượng giác, bạn nên học thuộc bảng công thức lượng giác dễ nhớ với những công thức tiêu biểu được chắt lọc kỹ lưỡng, với bảng công thức lượng giác dễ nhớ này, các em chỉ cần áp dụng vào đúng bài tập là sẽ có được cách giải quyết vấn đề nhanh chóng.

Bên cạnh đó, các bài tập trắc nghiệm phương trình lượng giác còn có đáp án kèm theo rất chính xác. Vì thế sau khi thực hành làm xong các bài tập thì các em học sinh có thể đối chiếu lại kết quả để kiểm tra bài làm của mình, từ đó có sự điều chỉnh kiến thức và phương pháp làm bài sao cho phù hợp nhất.

Bảng công thức lượng giác dùng cho lớp 10 - 11 - 12 cũng là tài liệu tương tự giúp bạn học các công thức lượng giác theo cách dễ dàng nhất, với bảng công thức lượng giác dùng cho lớp 10 - 11 - 12 bạn sẽ có những kiến thức tốt hơn khi làm các bài tập lượng giác.

Với các em học sinh lớp 12 thì ngoài việc ôn tập qua các bài tập trắc nghiệm phương trình lượng giác thì các em có thể tham khảo thêm các bài tập môn vật lý lớp 12 hay các bài tập về môn hóa học lớp 12 để củng cố kiến thức đồng đều các môn học. Nhất là với các bạn học sinh lớp 12 đăng ký thi khối A thì việc ôn tập qua các bài tập vật lý lớp 12 và các bài tập hóa học lớp 12 là rất cần thiết.


Liên kết tải về - [159 KB]

Bấm vào [Link File] để tải về phần mềm, hoặc tải phiên bản phù hợp phía dưới

Liên kết dự phòng:
Các phiên bản khác



Bài viết liên quan

Bài tập trắc nghiệm phương trình lượng giác - Kho hình ảnh
 Thông tin giới thiệu, hướng dẫn sử dụng phần mềm Bài tập trắc nghiệm phương trình lượng giác được biên soạn nhằm giúp bạn có thêm thông tin tham khảo, việc daoloat bài tập trắc nghiệm phương trình lượng giác là hoàn toàn miễn phí, bạn có thể chi tiết nội dung tại mục "Điều khoản".

Các phiên bảnHướng dẫn

   Tải về

Bài tập trắc nghiệm phương trình lượng giác File DOC

Bấm vào file dưới
Để cài phần mềm